SISTEMES D'EQUACIONS LINEALS
1. Sistemes d'equacions lineals amb dues incògnites
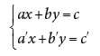
Un sistema lineal de dues equacions amb dues incògnites està format per dues equacions lineals (de primer grau) que, mitjançant una sèrie de transformacions, podem escriure de la forma següent:

- Aquestes dues equacions s'escriuen dins d'una clau per indicar que formen part d'un sistema.
- Les lletres a i b s'anomenen coeficients de la primera equació i les lletres a' i b' s'anomenen coeficients de la segona equació. Aquests coeficients poden ser valors positius i/o negatius.
- Els termes c i c' s'anomenen termes independents.
- Les lletres x i y s'anomenen incògnites i són els valors que caldrà trobar.
Per exemple, en el sistema d'equacions següent:

els coeficients de la primera equació són: a = 1 ; b = 2 i c = 5
i els de la segona equació són: a' = 5 ; b' = -1 i c' = 14
L'objectiu principal en la majoria dels casos serà resoldre el sistema d'equacions i això és el que veurem en el següent apartat.