SISTEMES D'EQUACIONS LINEALS
2. Resolució d'un sistema d'equacions lineals
RESOLDRE un sistema d'equacions lineals consisteix a trobar els valors de les incògnites x i y que compleixin alhora les dues equacions. A aquest fet també se l'anomena TROBAR LA SOLUCIÓ del sistema.
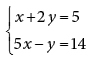
En l'exemple que hem vist en l'apartat anterior,

la solució del sistema seria: x = 3 i y = 1
Fem-ne la comprovació:
3 + 2·1 = 5 √
5·3 - 1 = 14 √
En aquest cas, ja sabíem la solució i, l'únic que hem hagut de fer ha estat comprovar-la.
Generalment, no sabrem quina és la solució i el que haurem de fer serà trobar-la, i, per fer-ho, caldrà conèixer els mètodes de resolució de sistemes d'equacions lineals.