SISTEMES D'EQUACIONS LINEALS (Apunts necessaris vàries activitats)
3. Mètodes de resolució d'un sistema d'equacions lineals
3.1. Mètode de substitució
Els passos que cal seguir per resoldre un sistema pel Mètode de substitució són els següents:
- S'aïlla una de les incògnites (preferiblement la que tingui coeficient 1 o -1) en una de les equacions.
- Se substitueix l'expressió obtinguda en l'altra equació.
- Es resol l'equació (amb una sola incògnita) obtinguda.
- Es calcula el valor de l'altra incògnita i se substitueix a l'equació on hi la incògnita aïllada.
- Es comprova que els valors obtinguts de les incògnites x i y són la solució del sistema d'equacions.
EXEMPLE:
En aquest cas, aïllem la incògnita x de la primera equació, ja que té coeficient 1:

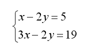
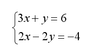
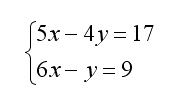
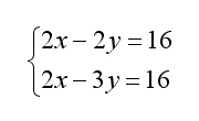
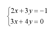
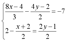
ALTRES EXEMPLES RESOLTS:
A continuació podeu veure uns quants exemples resolts. Per veure la solució a
tan sols cal clicar damunt de cada sistema d'equacions:
![]() |
![]() |
![]() |
![]() |
![]() |
![]() |





