SISTEMES D'EQUACIONS LINEALS (Apunts necessaris vàries activitats)
3. Mètodes de resolució d'un sistema d'equacions lineals
3.2. Mètode d'igualació
Els passos que cal seguir per resoldre un sistema pel Mètode de d'igualació són els següents:
- S'aïlla la mateixa incògnita (preferiblement la que tingui coeficient 1 o -1) en totes dues equacions.
- S'igualen les expressions obtingudes.
- Es resol l'equació (amb una sola incògnita) obtinguda.
- Es calcula el valor de l'altra incògnita substituint en una de les dues expressions aïllades.
- Es comprova que els valors obtinguts de les incògnites x i y són la solució del sistema d'equacions.
EXEMPLE:
En aquest cas, aïllem la incògnita x a les dues equacions:

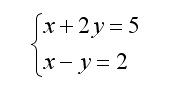
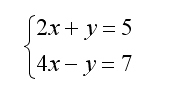
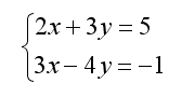
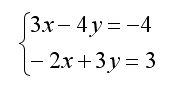
ALTRES EXEMPLES RESOLTS:
A continuació podeu veure uns quants exemples resolts. Per veure la solució a
tan sols cal clicar damunt de cada sistema d'equacions:
![]() |
![]() |
![]() |
![]() |



